Appearance
Latex公式贴图
当剪贴板中的内容是Latex文本时,按下贴图快捷键Ctrl + 2会将公式以渲染后的数学公式形式显示在屏幕上,而不是纯文本代码。
提示
如果没有对应的latex文本内容,而截取的Latex公式图片不清晰,可以通过以下方式获取高清公式:
- 复制截图后按
Shift + F进行公式识别(VIP) - 或者贴图后通过右键菜单 → 识别 → 公式识别(VIP)
识别后获取Latex源代码,再次贴图即可得到高清的数学公式。
示例效果
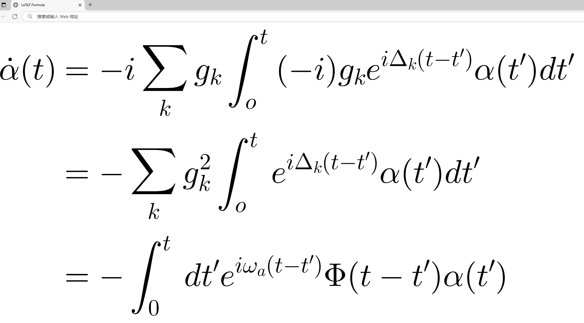
复制以下Latex代码:
latex
$$
\begin{aligned}
\dot{\alpha}(t) &= -i \sum_k g_k \int_o^t (-i) g_k e^{i \Delta_k (t-t')} \alpha(t') dt' \\
&= - \sum_k g_k^2 \int_o^t e^{i \Delta_k (t-t')} \alpha(t') dt' \\
&= - \int_0^t dt' e^{i \omega_a (t-t')} \Phi(t-t') \alpha(t')
\end{aligned}
$$$$
\begin{aligned}
\dot{\alpha}(t) &= -i \sum_k g_k \int_o^t (-i) g_k e^{i \Delta_k (t-t')} \alpha(t') dt' \\
&= - \sum_k g_k^2 \int_o^t e^{i \Delta_k (t-t')} \alpha(t') dt' \\
&= - \int_0^t dt' e^{i \omega_a (t-t')} \Phi(t-t') \alpha(t')
\end{aligned}
$$然后按Ctrl + 2进行贴图,效果如下:

latex贴图特有菜单项
有以下四种新功能: 
导出为 SVG
可将渲染后的公式导出为 SVG 矢量图。SVG 在放大时不会失真,适合用于演示文稿、印刷或需要高分辨率展示的场景。导出后可直接在图像编辑器或网页中使用。示例:

复制为 MathML
将当前公式转换为 MathML(数学标记语言)并复制到剪贴板。MathML 适用于需要在网页或支持 MathML 的编辑器中嵌入可解析的数学内容,便于无缝集成与可访问性处理(例如屏幕阅读器)。
使用场景示例:
- 在支持 MathML 的网页编辑器或 CMS 中粘贴代码:

- 页面会自动渲染并显示公式:

提示:并非所有浏览器/编辑器原生支持 MathML,粘贴前请确认目标平台的兼容性或使用能处理 MathML 的插件/组件。
复制为 LaTeX 源代码
复制当前贴图对应的 LaTeX 源代码。可适用于以下场景:
- 你贴了多张公式图,想快速获取某张的源代码;
- 剪贴板被其它内容覆盖,想获取当前贴图的原始 LaTeX。
复制后可直接粘贴到编辑器、论文或代码中,便于二次编辑与复用:

在 Word 中打开/插入
将公式以可编辑的 Office 数学对象插入 Word 文档,便于后续排版与编辑(如调整字体、大小或作为报告的一部分)。

PixPin